Утверждаю
Министр здравоохранения
Российской Федерации
Ю.Л.ШЕВЧЕНКО
10 ноября 1999 г. N 01-23/4-10
Президент
Российской академии
медицинских наук
В.И.ПОКРОВСКИЙ
10 ноября 1999 г. N 01-02/41
ИНСТРУКЦИЯ
ПО РАСЧЕТУ СТОИМОСТИ МЕДИЦИНСКИХ УСЛУГ
- Общие положения и понятия
1.1. Инструкция определяет единый методический подход к расчету стоимости медицинских услуг.
1.2. Объектом расчета стоимости является медицинская помощь, которая может быть представлена перечнем простых медицинских услуг (отдельные исследования, манипуляции, процедуры, оперативные вмешательства), перечнем сложных медицинских услуг («койко — дни» в профильных отделениях стационаров) или перечнем комплексных медицинских услуг по законченным случаям поликлинического и стационарного лечения (медико — экономические стандарты).
1.3. В стоимость медицинской услуги включаются затраты в соответствии с экономической классификацией расходов бюджетов Российской Федерации: 110100 (оплата труда), 110200 (начисления на оплату труда), 110320 (медицинские расходы), 110340 (продукты питания), 110310 (канцелярские принадлежности, материалы и предметы для текущих хозяйственных целей), 110400 (командировки и служебные разъезды), 110500 (оплата транспортных услуг), 110600 (оплата услуг связи), 110700 (оплата коммунальных услуг), 111000 (прочие текущие расходы), 130300 (трансферты населению), а также износ мягкого инвентаря и основных фондов, определяемые в соответствии с действующими нормативами. Расходы по страхованию профессиональной ответственности и другими видами страхования исключаются из налогооблагаемой базы и включаются в стоимость в соответствии с Постановлением Правительства Российской Федерации от 22.10.96 N 1387.
- Основные положения по определению стоимости медицинских услуг
2.1. Расчет стоимости услуг следует производить на основе фактических расходов учреждения (без расходов будущего периода), независимо от источника финансирования, с учетом кредиторской задолженности и с корректировкой их на индексы цен или в соответствии с курсом рубля по отношению к свободно конвертируемой валюте. Это позволяет обеспечить ресурсами лечебно — диагностический процесс в соответствии со сложившимися технологическими схемами и уровнем общественно необходимых затрат.
2.2. Для расчета стоимости медицинской услуги структурные подразделения медицинского учреждения делятся на основные и вспомогательные, оказываемые услуги — на простые, сложные и комплексные, а расходы учреждения — на прямые и косвенные.
2.2.1. К основным подразделениям медицинского учреждения относятся профильные отделения стационаров, отделения (кабинеты) поликлиник, диагностических центров, параклинические отделения, в которых пациенту обеспечивается оказание медицинских услуг.
2.2.2. К вспомогательным подразделениям относятся общеучрежденческие службы, обеспечивающие деятельность лечебно — диагностических подразделений (администрация, отдел кадров, бухгалтерия, кабинет медицинской статистики, регистратура, аптека, стерилизационная, хозяйственные службы и пр.).
2.2.3. К прямым расходам относятся затраты, непосредственно связанные с медицинской услугой и потребляемые в процессе ее оказания:
— оплата труда основного персонала (см. п. 3.1.1);
— начисления на оплату труда основного персонала;
— материальные затраты, потребляемые в процессе оказания медицинской услуги полностью (медикаменты, перевязочные средства, продукты питания, одноразовые медицинские принадлежности и др.);
— износ мягкого инвентаря по основным подразделениям;
— износ медицинского и прочего оборудования, используемого непосредственно в лечебно — диагностическом процессе.
2.2.4. К косвенным расходам относятся те виды затрат, которые необходимы для обеспечения деятельности учреждения, но не потребляемые непосредственно в процессе оказания медицинской услуги:
— оплата труда общеучрежденческого персонала (см. п. 3.1.2);
— начисления на оплату труда общеучрежденческого персонала;
— хозяйственные затраты (затраты на материалы и предметы для текущих хозяйственных целей, на канцелярские товары, инвентарь и оплату услуг, включая затраты на текущий ремонт и т.д.);
— затраты на командировки и служебные разъезды;
— износ мягкого инвентаря во вспомогательных подразделениях;
— амортизация (износ) зданий, сооружений и других основных фондов, непосредственно не связанных с оказанием медицинских услуг;
— прочие затраты.
Перечисленные косвенные затраты относятся на стоимость медицинских услуг через расчетные коэффициенты.
2.3. При расчете затрат на один «койко — день» учитывается плановое функционирование койки на предстоящий период (по числу плановых «койко — дней» с учетом планового закрытия коек на ремонт, санобработку и т.д.). Услуги, оказываемые пациенту в профильном отделении стационара (осмотр больного лечащим врачом, медицинские услуги процедурного и перевязочного кабинетов), не относятся к простым, а включаются в «койко — дни».
2.3.1. При расчете затрат на «койко — день» затраты отделения для новорожденных и недоношенных детей суммируются с затратами акушерского отделения (если койки этих отделений являются сверхсметными), затраты на содержание коек по уходу за детьми (для матерей, госпитализированных с детьми) суммируются с затратами соответствующих педиатрических отделений.
- Расчет стоимости медицинских услуг
Под простой медицинской услугой, в соответствии с Приказом Минздрава России от 22.12.98 N 374, понимается неделимая медицинская услуга, имеющая законченное, самостоятельное лечебное или диагностическое значение. В данной Инструкции к простым услугам отнесены услуги параклиники, оперативные вмешательства, а также посещения врача <*>.
———————————
<*> В соответствии с Приказом Минздрава России от 22.12.98 N 374 «О введении классификатора «Простые медицинские услуги» услуга «посещение врача» не является простой, так как делится на ряд детальных услуг (сбор анамнеза, перкуссия, аускультация и т.д.). Однако до разработки нормативов трудозатрат на каждую простую услугу, входящую в классификатор, расчеты затрат на услугу «посещение врача» осуществляются по действующим нормативам трудозатрат как на простую услугу.
Расчет стоимости простой медицинской услуги (С) осуществляется по формуле:
С = Сп + Ск = Зт + Нз + М + И + О + П,
где:
Сп — прямые расходы, Ск — косвенные расходы, Зт — расходы на оплату труда, Нз — начисления на оплату труда, М — расходы на медикаменты, перевязочные средства и пр., И — износ мягкого инвентаря, О — износ оборудования, П — прочие расходы.
3.1. Расчет расходов на оплату труда
Для определения одной из основных составляющих затрат на медицинскую услугу — оплаты труда медицинского персонала (Зт) необходимы следующие показатели:
для простых услуг
— затраты рабочего времени медицинского персонала на выполнение каждой медицинской услуги;
— годовой бюджет рабочего времени по каждой категории медицинского персонала;
— коэффициент использования рабочего времени медицинского персонала на осуществление лечебно — диагностической деятельности;
для сложных услуг
— число плановых «койко — дней» за год в отделениях стационара в соответствии с действующими Методическими рекомендациями по повышению эффективности и анализу использования коечного фонда (Минздрав СССР, Москва, 1974) <*>.
———————————
<*> При планировании числа «койко — дней», для сопоставления рекомендуется пользоваться приложением 1 (таблица 3) к «Методическим рекомендациям по порядку формирования и экономического обоснования территориальных программ государственных гарантий обеспечения граждан Российской Федерации бесплатной медицинской помощью», М., 1998 г.
Для определения расходов на оплату труда раздельно рассчитывается основная и дополнительная заработная плата основного и общеучрежденческого персонала.
3.1.1. К основному персоналу лечебного учреждения относится врачебный и средний медицинский персонал, непосредственно оказывающий медицинские услуги.
3.1.2. К общеучрежденческому персоналу относятся сотрудники вспомогательных подразделений, заведующие отделениями, старшие медицинские сестры, младший медицинский персонал, медицинские регистраторы.
3.1.3. Под основной заработной платой (Зт) понимается основная заработная плата, установленная в соответствии со штатными должностями учреждения, начисленная согласно нормативным актам Минздрава России, а также заработная плата научного персонала в части выполнения работы в профильных и лечебно — диагностических подразделениях (лечебно — диагностическая, клиническая надбавка). Заработная плата персонала научных подразделений при расчете стоимости не учитывается.
3.1.4. Под дополнительной заработной платой (Зд) понимаются выплаты компенсационного характера:
— за работу в ночное время;
— за работу в праздничные и выходные дни;
— оплата очередных ежегодных и дополнительных отпусков (компенсаций за неиспользованный отпуск);
— оплата льготных часов подростков;
— доплата за работу с интернами;
— оплата времени прохождения обязательных медицинских осмотров;
— компенсация женщинам, находящимся в частично оплачиваемом отпуске по уходу за ребенком;
— оплата времени выполнения государственных обязанностей;
— выходные пособия;
— оплата приглашенных консультантов;
— оплата отпусков молодым специалистам перед началом работы;
— оплата времени учебы с отрывом от производства в системе повышения квалификации и переподготовки кадров.
В расчетах не учитываются:
— премии и материальная помощь работникам, выплачиваемые за счет средств специального назначения и целевых поступлений;
— оплата дополнительно предоставляемых (сверх предусмотренных законодательством) отпусков работникам.
3.1.5. Дополнительная заработная плата (Зд) включается в затраты через коэффициент (Кд) и исчисляется по отношению к основной заработной плате всего персонала.
Кд = Зд / Зт всего персонала. (1)
Коэффициент дополнительной заработной платы определяется на основании расчетов, проведенных учреждением для подготовки сметы.
В настоящее время дополнительная заработная плата в зависимости от профиля учреждения колеблется для амбулаторно — поликлинических учреждений в пределах 8 — 10%, для стационаров — 25 — 30% от основной заработной платы.
3.1.6. Фонд оплаты труда основного персонала (Зт)осн представляет собой сумму расходов на оплату труда врачебного персонала (Зт.вр) и среднего медицинского персонала (Зт.ср).
В общем виде фонд оплаты труда основного персонала равен:
Зт = Зт.вр + Зт.ср. (2)
3.1.7. Расчет расходов на оплату труда по конкретной медицинской услуге (Зт.ус) проводится раздельно по каждой категории персонала на основании средней заработной платы сотрудников по подразделению в соответствии с тарификационными списками и установленными нормативами трудозатрат на выполнение этих услуг.
КОЭФФИЦИЕНТЫ ИСПОЛЬЗОВАНИЯ РАБОЧЕГО ВРЕМЕНИ <*>
———————————
<*> Таблица рассчитана в соответствии с «Методическими рекомендациями по расчету тарифа на случай амбулаторно — поликлинического обслуживания в системе обязательного медицинского страхования», утвержденными Приказом ФФОМС от 12.10.95 N 72.
Таблица 1
| Наименование должности | Коэффициент |
| 1 | 2 |
| Врач амбулаторного приема | 0,923 |
| Врач — лаборант | 0,75 |
| Лаборант, фельдшер — лаборант | 0,80 |
| Врач — рентгенолог, рентгенолаборант | 0,90 |
| Врач — радиолог | 1,0 |
| Врач функциональной диагностики | 0,85 |
| Врач ультразвуковой диагностики | 0,85 |
| Врач и инструктор по лечебной физкультуре | 0,923 |
| Врач — физиотерапевт | 0,923 |
| Врач — эндоскопист | 1,0 |
| Медицинская сестра по массажу | 0,77 |
| Медицинская сестра по физиотерапии | 1,12 |
(3)
где:
Зт.вр, Зт.ср — фонд оплаты труда соответствующей категории персонала за расчетный период;
Фр.вр, Фр.ср — фонд рабочего времени соответствующей категории персонала, исчисленный в условных единицах трудоемкости, за расчетный период;
tвр, tср — время оказания медицинской услуги соответствующей категорией персонала в условных единицах трудоемкости.
Трудоемкость измеряется затратами времени на оказание медицинской услуги. В целях упрощения расчетов целесообразно трудоемкость измерять в условных единицах трудоемкости (УЕТ), приняв время, равное 10 минутам, за 1 УЕТ.
Кисп.вр, Кисп.ср — нормативный коэффициент использования рабочего времени медицинского персонала непосредственно на проведение лечебно — диагностической работы, исследований, процедур.
В общем виде Кисп. определяется по формуле:
(4)
где:
Фисп.вр — фонд использования времени на непосредственное проведение лечебно — диагностической работы. Коэффициенты использования рабочего времени приведены в таблице 1 (для врачей, чьи специальности не указаны в таблице, коэффициент использования рабочего времени принимается равным коэффициенту, рассчитанному для врача амбулаторного приема, отделения стационара. Для медицинских сестер, работающих с врачами, используется коэффициент, рассчитанный для врачей соответствующей специальности);
Фр.вр — установленный фонд рабочего времени медицинского персонала в соответствии с указаниями Министерства труда и социального развития России на соответствующий расчетный период.
Итого расходы на оплату труда по конкретной медицинской услуге:
Зт.ус = Зт * (1 + Ку) * (1 + Кд), (5)
где:
Ку — коэффициент заработной платы общеучрежденческого персонала;
Кд — коэффициент дополнительной заработной платы.
3.2. Расчет начислений на заработную плату
Начисления на заработную плату (Нз) устанавливаются законодательством Российской Федерации в процентах от фонда оплаты труда.
В настоящее время максимальный размер начислений равен 38,5% от оплаты труда:
Нз.ус = Зт.ус * 0,385. (6)
3.3. Расчет затрат на медикаменты и перевязочные средства
Расходы на медикаменты и перевязочные средства (М) включают виды затрат, учитываемых по статье «Медицинские расходы» экономической классификации расходов бюджета (код 110320) — медикаменты, перевязочные средства, химические реактивы, одноразовые принадлежности, приобретение минеральных вод, сывороток, вакцин, витаминов, дезинфекционных средств и т.п., пленок для рентгеновских снимков, материалов для производства анализов в объеме и номенклатуре, обеспечивающих качественное оказание медицинской услуги, а также расходы по оплате стоимости анализов, проводимых в других учреждениях (при отсутствии своей лаборатории); оплату доноров, включая питание, приобретение крови для переливания.
Расчеты по учреждению в целом производятся на основании данных отчетной формы N 2 «Отчет об использовании сметы расходов бюджетной организации» по фактическим расходам за период, предшествующий расчетному, субсчет 062 — «медикаменты и перевязочные средства».
Расчеты по подразделениям учреждения производятся по копиям аптечных требований. Однако в случаях, когда учреждение в течение предшествующего периода функционировало в условиях финансового дефицита, при использовании в расчетах данных о фактических расходах закрепляется тенденция недостаточного финансирования и, следовательно, недостаточного ресурсного покрытия производимых услуг.
Для ликвидации этого недостатка, в целях полного ресурсного обеспечения лечебно — диагностического процесса целесообразно в расчет по данной статье расходов включить технологически необходимые затраты на основании протоколов ведения пациентов, медико — экономических стандартов, нормативных документов: Приказов Минздрава СССР «О нормативах потребления этилового спирта медицинскими учреждениями, порядке прописывания, отпуска этилового спирта в ЛПУ и аптеках» от 30.08.91 N 245, «О мерах по дальнейшему улучшению стоматологической помощи населению» от 12.06.84 N 670, приложения N 36 к Постановлению ЦК КПСС и Совета Министров СССР «Расчетные нормы расхода на приобретение медикаментов и перевязочных средств в стационарах, бюджетных санаториях и амбулаторно — поликлинических учреждениях на одного больного в день» от 20.06.88 N 764, инструкций по применению лекарственных препаратов и реактивов. В последующем периоде расчеты производятся на основании фактически произведенных расходов по вышеперечисленным учетно — отчетным формам. Данные для расчетов необходимо скорректировать в соответствии с индексом изменения цен или в соответствии с курсом рубля по отношению к свободно конвертируемой валюте.
В общем виде затраты на медикаменты могут быть определены по формуле:
(7)
где:
Sвр, Sср — число должностей врачей и среднего персонала отделения соответственно;
Фр.вр, Фр.ср — годовой фонд рабочего времени соответствующей категории персонала, исчисленный в условных единицах трудоемкости (УЕТ);
tвр, tср — время оказания медицинской услуги (трудоемкость) соответствующей категорией персонала, исчисленное в условных единицах трудоемкости (УЕТ);
Кисп.вр, Кисп.ср — нормативный коэффициент использования рабочего времени должностей медицинского персонала непосредственно на проведение лечебно — диагностической работы, исследований, процедур;
М — затраты на медикаменты.
3.4. Расчет расходов на мягкий инвентарь
3.4.1. Расчет расходов на мягкий инвентарь (И) производится по его износу (фактическому списанию по акту), независимо от способа перенесения стоимости, принятого в соответствии с учетной политикой ЛПУ (Приказ Минфина России от 15.06.98 N 25-н).
В общем виде затраты могут быть определены по формуле:
(8)
где:
Sвр, Sср — число должностей врачей и среднего персонала отделения соответственно;
Фр.вр, Фр.ср — годовой фонд рабочего времени соответствующей категории персонала, исчисленный в условных единицах трудоемкости (УЕТ);
tвр, tср — время оказания медицинской услуги (трудоемкость) соответствующей категорией персонала, исчисленное в условных единицах трудоемкости (УЕТ);
Кисп.вр, Кисп.ср — нормативный коэффициент использования рабочего времени по должностям медицинского персонала непосредственно на проведение лечебно — диагностической работы, исследований, процедур;
Ис — износ мягкого инвентаря (по списанию).
3.5. Расчет износа оборудования
3.5.1. Износ оборудования, числящегося в составе основных средств <*>, в расчете на медицинскую услугу (О) учитывается пропорционально времени оказания услуги. Годовая сумма износа (Sо) каждого вида оборудования исчисляется исходя из балансовой стоимости основных средств (Бо), которую можно определить по «Инвентарной карточке учета основных средств» (форма N ОС-6), и установленной нормы износа (Ni), определяемой в соответствии с «Годовыми нормами износа медицинского оборудования учреждений и организаций, состоящих на государственном бюджете СССР», утвержденными Минздравом СССР 23.06.88 N 03-14/19-14. Для учета ускоренного износа оборудования необходимо руководствоваться Постановлением Правительства Российской Федерации от 19.08.94 N 967 (в редакции от 24.06.98).
———————————
<*> Износ инвентаря, учитываемого в составе МБП, производится в соответствии с пунктом 3.4.1.
Сумма годового износа оборудования определяется по формуле:
Sоу = Бо * Ni (9)
Затраты на услугу равны:
(10)
где:
Si — количество должностей персонала, оказывающего услугу с использованием данного оборудования;
Фр.i, Кисп.i — соответственно годовой фонд рабочего времени и коэффициент использования рабочего времени персонала;
ti — время оказания медицинской услуги;
Sоу — износ медицинского оборудования, используемого при оказании конкретной медицинской услуги.
В общем виде износ всего оборудования (SUM Sоу), приходящийся на услугу, определяется по формуле:
(11)
где:
i — все виды оборудования, используемого в отделении;
Sвр, Sср — число должностей врачей и среднего персонала отделения соответственно;
Фр.вр, Фр.ср — годовой фонд рабочего времени соответствующей категории персонала, исчисленный в условных единицах трудоемкости (УЕТ);
tвр, tср — время оказания медицинской услуги (трудоемкость) соответствующей категорией персонала, исчисленное в условных единицах трудоемкости (УЕТ);
Кисп.вр, Кисп.ср — нормативный коэффициент использования рабочего времени должностей медицинского персонала непосредственно на проведение лечебно — диагностической работы, исследований, процедур.
3.6. Расчет косвенных расходов
Косвенные расходы (Ск) — это расходы учреждения на осуществление хозяйственной деятельности, управление, оказание услуг, которые не могут быть прямо отнесены на их стоимость.
Заработная плата общеучрежденческого персонала (Зу)
учитывается при расчете затрат на медицинскую услугу через
коэффициент заработной платы общеучрежденческого персонала (Ку) к
основной заработной плате основного персонала (Зт):
Зу = Зт * Ку. (12)
Начисления на заработную плату общеучрежденческого персонала рассчитываются аналогично начислениям на оплату труда основного персонала:
Нзу = Зу * 0,385. (13)
Прочие косвенные расходы (коды 110310, 110350, 110360, 110370, 110400, 110500, 110600, 110700, 111000, 130300) могут быть рассчитаны исходя из фактических затрат за прошлый период на основании формы 2 «Отчет об исполнении сметы расходов бюджетной организации» (графа 8 строки 230, 240, 250, 260, 300, 360, 400, 470, 580). В связи с тем, что расходы по указанным выше кодам статей недостаточно финансируются из бюджета, целесообразно включить в фактические расходы данные формы 4 «Отчет об исполнении сметы по внебюджетным средствам» (графа 5 строки 100 — «Командировки и служебные разъезды», 110 — «Оплата транспортных услуг», 120 — «Оплата услуг связи», 130 — «Оплата коммунальных услуг»).
В стоимость медицинской услуги косвенные расходы включаются пропорционально прямым расходам (Сп), приходящимся на услугу.
3.6.1. Для учета косвенных расходов в стоимости конкретной услуги рассчитывается их коэффициент (Ккр):
Ккр = Ск / Сп, (14)
Скус = Сп * Ккр, (15)
где:
Скус — косвенные расходы, учитываемые в стоимости конкретной медицинской услуги.
Стоимость конкретной медицинской услуги рассчитывается путем суммирования результатов по каждому виду затрат:
Сус = Зтус + Нзус + Мус + Иус + Оус + Скус. (16)
Таблицы для расчета затрат на услугу приведены в Приложении.
- Расчет затрат на «койко — день»
Медицинская услуга «койко — день» включает в себя ряд простых услуг согласно классификатору «простые медицинские услуги» (сбор анамнеза, перкуссия, аускультация и т.д.). В связи с этим в настоящей Инструкции услуга «койко — день» отнесена к сложной услуге. Услуги параклинических отделений (кабинетов) в расчет стоимости «койко — дня» не включаются.
Расчет затрат на «койко — день» (С) осуществляется по формуле:
С = Зт + Нз + М + П + И + О + Ск, (17)
где:
Зт — расходы на оплату труда, Нз — начисления на заработную плату, М — расходы на медикаменты и перевязочные средства, П — питание, И — износ мягкого инвентаря, О — износ оборудования, Ск — косвенные расходы.
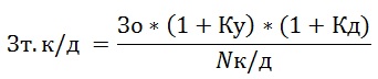
4.1. Расчет затрат на оплату труда по сложной медицинской услуге «койко — день» (Зт.к/д) проводится раздельно по каждой категории персонала подразделения или нескольким однопрофильным отделениям, по штатным должностям на основании тарификационных списков сотрудников.
Коэффициент использования рабочего времени при определении затрат на оплату труда в расчете на 1 «койко — день» равен 1,0.
(18)
где:
Зо — основная заработная плата основного персонала
проф
отделения за расчетный период;
Ку — коэффициент заработной платы общеучрежденческого персонала;
Кд — коэффициент дополнительной заработной платы;
Nк/д — плановое число «койко — дней» за расчетный период.
При отсутствии утвержденного показателя «Число дней функционирования койки в год» расчет производится в соответствии с «Методическими рекомендациями по повышению эффективности и анализу использования коечного фонда стационарных ЛПУ» (Минздрав СССР от 08.04.74 N 02-14/19). При проведении расчетов целесообразно полученные данные сопоставить с приложением 1 «Методических рекомендаций по порядку формирования и экономического обоснования территориальных программ государственных гарантий обеспечения граждан Российской Федерации бесплатной медицинской помощью» (Минздрав России, Москва, 1998).
4.2. Начисления на оплату труда устанавливаются законодательством Российской Федерации в процентах от фонда оплаты труда.
В настоящее время максимальный размер отчислений равен 38,5% от оплаты труда:
Нз.к/д = Зт.к/д * 0,385. (19)
4.3. Расходы на медикаменты и перевязочные средства включают виды затрат, учитываемых по статье «Медицинские расходы» экономической классификации расходов бюджета (код 110320) — медикаменты, перевязочные средства, химические реактивы, одноразовые принадлежности, приобретение минеральных вод, сывороток, вакцин, витаминов, дезинфекционных средств и т.п., пленок для рентгеновских снимков, материалов для производства анализов в объеме и номенклатуре, обеспечивающих качественное оказание медицинской услуги, а также расходы по оплате стоимости анализов, проводимых в других учреждениях (при отсутствии своей лаборатории); оплату доноров, включая питание, приобретение крови для переливания.
Расчеты по учреждению в целом производятся на основании данных отчетной формы N 2 «Отчет об использовании сметы расходов бюджетной организации» по фактическим расходам за период, предшествующий расчетному, субсчет 062 — «медикаменты и перевязочные средства».
Расчеты по подразделениям учреждения производятся по копиям аптечных требований. Однако в случаях, когда учреждение в течение предшествующего периода функционировало в условиях финансового дефицита, при использовании в расчетах данных о фактических расходах закрепляется тенденция недостаточного финансирования и, следовательно, недостаточного ресурсного покрытия производимых услуг.
Для ликвидации этого недостатка, в целях полного ресурсного обеспечения лечебно — диагностического процесса целесообразно в расчет по данной статье расходов включить технологически необходимые затраты на основании протоколов ведения пациентов, медико — экономических стандартов, нормативных документов: Приказов Минздрава СССР «О нормативах потребления этилового спирта медицинскими учреждениями, порядке прописывания, отпуска этилового спирта в ЛПУ и аптеках» от 30.08.91 N 245, «О мерах по дальнейшему улучшению стоматологической помощи населению» от 12.06.84 N 670, Приложения N 36 к Постановлению ЦК КПСС и Совета Министров СССР «Расчетные нормы расхода на приобретение медикаментов и перевязочных средств в стационарах, бюджетных санаториях и амбулаторно — поликлинических учреждениях на одного больного в день» от 20.06.88 N 764, инструкций по применению лекарственных препаратов и реактивов. В последующем периоде расчеты производятся на основании фактически произведенных расходов по вышеперечисленным учетно — отчетным формам, которые необходимо скорректировать в соответствии с индексом цен или в соответствии с курсом рубля по отношению к свободно конвертируемой валюте.
При расчете затрат на медикаменты по медико — экономическому стандарту в стоимость «койко — дня» профильного отделения затраты на медикаменты не включаются, а рассчитываются прямым способом по каждому медико — экономическому стандарту. Общие затраты на медикаменты по медико — экономическому стандарту определяются как сумма затрат профильного отделения на законченный случай лечения и затрат на медикаменты по всем простым услугам, включенным в медико — экономические стандарты.
В стоимости «койко — дня» затраты на медикаменты определяются по формуле:
(20)
где:
М — плановые затраты отделения на медикаменты за расчетный период;
Nк/д — плановое количество «койко — дней» по отделению за расчетный период.
4.4.1. Затраты на питание больных в профильных отделениях стационаров относятся на «койко — день» по установленным нормам на основе суточных продуктовых наборов по профилям коек в соответствии с Приказами Минздрава СССР от 14.06.89 N 369 по взрослым стационарам и от 10.03.86 N 333 по детским стационарам и родильным домам.
4.4.2. Расходы по спецпитанию медицинского персонала, работающего во вредных условиях, определенных Перечнем химических веществ, при работе с которыми в профилактических целях рекомендуется употребление молока или других равноценных пищевых продуктов, утвержденным Минздравом СССР от 04.11.87 N 4430-87, и «Порядком бесплатной выдачи молока или других равноценных пищевых продуктов рабочим и служащим, занятым на работах с вредными условиями труда», утвержденным Постановлением Госкомтруда СССР и Президиума ВЦСПС от 16.12.87, относятся на затраты по услугам, оказываемым в отделениях с вредными условиями труда, через прочие расходы отделения.
В общем виде расходы на питание в расчете на один «койко — день» определяются по формуле:
(21)
где:
П — затраты на питание за расчетный период;
Nк/д — число «койко — дней» за расчетный период.
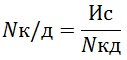
4.5. Расчет расходов на мягкий инвентарь производится по его износу (фактическому списанию по акту), независимо от способа перенесения стоимости, принятого в соответствии с учетной политикой медицинских учреждений (Приказ Минфина России от 15.06.98 N 25-н). Износ мягкого инвентаря в расчете на один «койко — день» определяется по формуле:
(22)
где:
Ис — износ мягкого инвентаря в отделении за расчетный период;
Nк/д — число «койко — дней» за расчетный период.
4.6. Износ оборудования в расчете на один «койко — день» (Sо) рассчитывается на основании балансовой стоимости (Бо) по инвентарной карточке учета основных средств (форма ОС-6) и годовой нормы износа каждого вида оборудования (Ni), определяемой в соответствии с «Годовыми нормами износа медицинского оборудования учреждений и организаций, состоящих на государственном бюджете СССР», утвержденными Минздравом СССР 23.06.88 N ОЗ-14/19-14, и Постановлением Правительства Российской Федерации от 19.08.94 N 967.
Износ оборудования при расчете стоимости одного «койко — дня» определяется по формуле:
(23)
где:
Sо — износ оборудования в отделении за расчетный период.
4.7. Косвенные расходы — это расходы на осуществление хозяйственной деятельности, управление, оказание услуг, которые не могут быть прямо отнесены на стоимость.
В состав косвенных расходов включаются: заработная плата общеучрежденческого персонала (основная и дополнительная), прочие расходы (коды 110350, 110360, 110370, 110400, 110500, 110600, 110700, 111000, 130300), которые могут быть рассчитаны исходя из фактических затрат за прошлый период по форме 2 «Отчет об исполнении сметы расходов бюджетной организации» (графа 8 строки 230, 240, 250, 260, 300, 360, 400, 470, 580). В связи с тем, что расходы по указанным выше кодам статей недостаточно финансируются из бюджета, целесообразно в фактические расходы включить данные формы 4 «Отчет об исполнении сметы по внебюджетным средствам» (графа 5 строки 100 — «Командировки и служебные разъезды», 110 — «Оплата транспортных услуг», 120 — «Оплата услуг связи», 130 — «Оплата коммунальных услуг»).
В стоимость медицинской услуги косвенные расходы включаются пропорционально прямым расходам (Сп), приходящимся на услугу.
Для учета косвенных расходов в стоимости «койко — дня» рассчитывается коэффициент косвенных расходов (Ккр):
Ккр = Ск / Сп, (24)
Скк/д = Сп * Ккр, (25)
где:
Ск — косвенные расходы, учитываемые в стоимости «койко — дня».
Таким образом, стоимость «койко — дня» рассчитывается путем суммирования полученных результатов по каждому виду затрат:
Ск/д = Зтк/д + Нзк/д + Мк/д + Пк/д + Ик/д + Ок/д + Скк/д (26)
Таблицы для расчета затрат на «койко — день» приведены в Приложении.
Приложение
РАСЧЕТ ЗАТРАТ ПО СТАТЬЕ 110100 «ОПЛАТА ТРУДА» ЭКОНОМИЧЕСКОЙ КЛАССИФИКАЦИИ РАСХОДОВ, ОТНОСИМЫХ НА ПРОСТУЮ УСЛУГУ
Таблица 1.1
| Наименова- ние подраз- деления |
Число штатных должностей |
Средняя ставка в месяц (руб.) |
Фонд заработной платы (руб.) |
||||||||
| вра- чи |
ср. м.п. |
про- чие |
вра- чи |
ср. м.п. |
про- чие |
вра- чи |
ср. м.п. |
итого з/плата основно- го пер- сонала |
про- чие |
все- го |
|
| 1 | 2 | 3 | 4 | 5 | 6 | 7 | 8 (гр. 2 x гр. 5) |
9 (гр. 3 x гр. 6) |
10 (гр. 8 + гр. 9) |
11 (гр. 4 x гр. 7) |
12 (гр. 10 + гр. 11) |
| 1. Терапев- тический кабинет (отделение) |
— | — | — | ||||||||
| 2. Хирурги- ческий кабинет (отделение) |
— — |
— — |
— — |
||||||||
| 3. | — | — | — | ||||||||
| 4. | — | — | — | ||||||||
| 5. Лабора- тория |
— | — | — | ||||||||
| 6. Рентге- новский кабинет (отделение) |
— | — | — | ||||||||
| 7. | — | — | — | ||||||||
| 8. | — | — | — | ||||||||
| Итого: | |||||||||||
| 9. Адми- нистративно — хозяйст- венные и общеболь- ничные службы |
|||||||||||
| Наименование подразделения |
Коэф- фициент з/платы обще- учрежд. персо- нала, Ку |
Фонд заработ- ной платы по подразделе- ниям с учетом з/платы обще- учрежденч. персонала (руб.) |
Фонд рабочего времени (в УЕТ с учетом Кисп) |
Фонд зараб. платы в рас- чете на 1 УЕТ (руб.) |
||
| вра- чи |
ср. м.п. |
все- го |
||||
| 1 | 13 (гр. 11 : итог гр. 10) |
14 (гр. 10 x гр. 13) + гр. 10 |
15 | 16 | 17 | 18 (гр. 14 : гр. 17 |
| 1. Терапевти- ческий каби- нет (отделе- ние) |
||||||
| 2. Хирурги- ческий каби- нет) |
||||||
| 3. | ||||||
| 4. | ||||||
| 5. Лаборато- рия |
||||||
| 6. Рентге- новский каби- нет (отделе- ние) |
||||||
| 7. | ||||||
| 8. | ||||||
| Итого: | ||||||
| 9. Админист- ративно — хо- зяйственные и общебольнич- ные службы |
||||||
РАСЧЕТ ЗАТРАТ ПО СТАТЬЕ 110100 «ОПЛАТА ТРУДА» ЭКОНОМИЧЕСКОЙ КЛАССИФИКАЦИИ РАСХОДОВ, ОТНОСИМЫХ НА СЛОЖНУЮ УСЛУГУ
Таблица 1.2
| Наименование подразделения |
Число штатных должностей |
Средняя ставка в месяц (руб.) |
Фонд заработной платы (ос- новной) (руб.) |
||||||||
| вра- чи |
ср. м.п. |
про- чие |
вра- чи |
ср. м.п. |
про- чие |
вра- чи |
ср. м.п. |
итого з/плата основ- ного персо- нала |
про- чие |
все- го |
|
| 1 | 2 | 3 | 4 | 5 | 6 | 7 | 8 (гр. 2 x гр. 5) |
9 (гр. 3 x гр. 6) |
10 (гр. 8 + гр. 9) |
11 (гр. 4 x гр. 7) |
12 (гр. 10 + гр. 11) |
| 1. Терапевти- ческое отде- ление |
— | — | — | ||||||||
| 2. Хирурги- ческое отде- ление |
— | — | — | ||||||||
| 3. | — | — | — | ||||||||
| 4. | — | — | — | ||||||||
| 5. | — | — | — | ||||||||
| 6. | — | — | — | ||||||||
| 7. | — | — | — | ||||||||
| 8. | — | — | — | ||||||||
| Итого: | |||||||||||
| 9. Админист- ративно — хо- зяйственные и общебольнич- ные службы |
|||||||||||
| Наименование подразделения |
Коэф- фициент з/платы обще- учрежд. персо- нала Ку, |
Фонд заработ- ной платы по подразделе- ниям с учетом з/платы обще- учрежденч. персонала (руб.) |
Число койко — дней по плану |
Фонд за- работной платы в расчете на 1 койко — день (руб.) |
| 1 | 13 (гр. 11 : итог гр. 10) |
14 (гр. 10 x гр. 13) + гр. 10 |
15 | 16 (гр. 14 : гр. 15 |
| 1. Терапевти- ческое отде- ление |
||||
| 2. Хирурги- ческое отде- ление |
||||
| 3. | ||||
| 4. | ||||
| 5. | ||||
| 6. | ||||
| 7. | ||||
| 8. | ||||
| Итого: | ||||
| 9. Админист- ративно — хо- зяйственные и общебольнич- ные службы |
РАСЧЕТ ЗАТРАТ ПО СТАТЬЕ 110200 «НАЧИСЛЕНИЯ НА ОПЛАТУ ТРУДА» ЭКОНОМИЧЕСКОЙ КЛАССИФИКАЦИИ РАСХОДОВ, ОТНОСИМЫХ НА ПРОСТУЮ И СЛОЖНУЮ УСЛУГИ
Таблица 1.3
| Наименование подразделения |
Фонд основной оплаты труда (руб.) |
Фонд допол- нительной оплаты труда (руб.) |
Итого фонд оплаты тру- да (руб.) |
Начисления на оплату труда (руб.) |
|||||
| основ- ного персо- нала |
проче- го персо- нала |
осно- вного пер- сона- ла |
проче- го персо- нала |
основ- ного персо- нала |
про- чего пер- со- нала |
основ- ного персо- нала |
про- чего пер- со- нала |
все- го |
|
| 1 | 2 (гр. 10 табл. 1.1 или 1.2) |
3 (гр. 11 табл. 1.1 или 1.2) |
4 | 5 | 6 (гр. 2 + гр. 4) |
7 (гр. 3 + гр. 5) |
8 (гр. 6 x 0,385) |
9 (гр. 7 x 0,385) |
10 (гр. 8 + 9) |
| 1. Терапевти- ческий каби- нет (отделе- ние) |
|||||||||
| 2. Хирурги- ческий каби- нет (отделе- ние) |
|||||||||
| 3. | |||||||||
| 4. | |||||||||
| 5. Лаборато- рия |
|||||||||
| 6. Рентге- новский каби- нет (отделе- ние) |
|||||||||
| 7. | |||||||||
| 8. | |||||||||
| Итого: | |||||||||
| 9. Админист- ративно — хо- зяйственные и общебольнич- ные службы |
|||||||||
| Наименование подразделения |
Фонд рабочего времени (в УЕТ с учетом Кисп) |
Начисле- ния на оплату труда в расчете на 1 УЕТ (руб.) |
Число койко — дней по плану |
Начисле- ния на оплату труда в расчете на 1 койко — день (руб.) |
| всего | ||||
| 1 | 11 гр. 17 табл. 1.1 |
12 (гр. 10 : гр. 11 |
13 | 14 (гр. 10 : гр. 13) |
| 1. Терапевти- ческий каби- нет (отделе- ние) |
||||
| 2. Хирурги- ческий каби- нет (отделе- ние) |
||||
| 3. | ||||
| 4. | ||||
| 5. Лаборато- рия |
||||
| 6. Рентге- новский каби- нет (отделе- ние) |
||||
| 7. | ||||
| 8. | ||||
| Итого: | ||||
| 9. Админист- ративно — хо- зяйственные и общебольнич- ные службы |
РАСЧЕТ ЗАТРАТ ПО ПОДСТАТЬЕ 110340
«ПРОДУКТЫ ПИТАНИЯ» ЭКОНОМИЧЕСКОЙ КЛАССИФИКАЦИИ
РАСХОДОВ, ОТНОСИМЫХ НА ПРОСТУЮ И СЛОЖНУЮ УСЛУГИ
Таблица 2
| Наименование подразделения |
Фактические расходы на питание (руб.) |
Доля рас- ходов об- щеучреж- денческих служб |
Фактические расходы лечеб- но — диагности- ческих подраз- делений с уче- том общеучреж- денческих служб (руб.) |
Фонд рабочего времени с учетом Кисп (УЕТ) |
|
| по лечебно — диагнос- тическим подразделе- ниям |
по общеуч- режденчес- ким служ- бам |
||||
| 1 | 2 | 3 | 4 (итог гр. 3 : итог гр. 2) |
5 (гр. 2 x гр. 4) + гр. 2 |
6 (гр. 17 табл. 1.1) |
| 1. Терапевти- ческий каби- нет (отделе- ние) |
|||||
| 2. Хирурги- ческий каби- нет (отделе- ние) |
|||||
| 3. | |||||
| 4. | |||||
| 5. Лаборато- рия |
|||||
| 6. Рентге- новский каби- нет (отделе- ние) |
|||||
| 7. | |||||
| 8. | |||||
| Итого: | |||||
| 9. Админист- ративно — хо- зяйственные и общебольнич- ные службы |
|||||
| Наименование подразделения |
Расходы в расчете на 1 УЕТ (руб.) |
Число прове- денных койко — дней |
Расходы в расчете на 1 койко — день (руб.) |
| 1 | 7 (гр. 5 : гр. 6) |
8 | 9 (гр. 5 : гр. 8) |
| 1. Терапевти- ческий каби- нет (отделе- ние) |
|||
| 2. Хирурги- ческий каби- нет (отделе- ние) |
|||
| 3. | |||
| 4. | |||
| 5. Лаборато- рия |
|||
| 6. Рентге- новский каби- нет (отделе- ние) |
|||
| 7. | |||
| 8. | |||
| Итого: | |||
| 9. Админист- ративно — хо- зяйственные и общебольнич- ные службы |
РАСЧЕТ ЗАТРАТ ПО ПОДСТАТЬЕ 110320 «МЕДИЦИНСКИЕ РАСХОДЫ» ЭКОНОМИЧЕСКОЙ КЛАССИФИКАЦИИ РАСХОДОВ, ОТНОСИМЫХ НА ПРОСТУЮ И СЛОЖНУЮ УСЛУГИ (КОЙКО-ДЕНЬ)
Таблица 3
| Наименование подразделения |
Расходы на медикаменты (руб.) |
Доля рас- ходов об- щеучреж- денческих служб |
Расходы лечебно — диагностичес- ких подразделе- ний с учетом общеучрежден- ческих служб (руб.) |
Фонд рабочего времени с учетом Кисп (УЕТ) |
|
| по лечебно — диагнос- тическим подразделе- ниям |
по общеуч- режденчес- ким служ- бам |
||||
| 1 | 2 | 3 | 4 (итог гр. 3 : итог гр. 2) |
5 (гр. 2 x гр. 4) + гр. 2 |
6 (гр. 17 табл. 1.1) |
| 1. Терапевти- ческий каби- нет (отделе- ние) |
|||||
| 2. Хирурги- ческий каби- нет (отделе- ние) |
|||||
| 3. | |||||
| 4. | |||||
| 5. Лаборато- рия |
|||||
| 6. Рентге- новский каби- нет (отделе- ние) |
|||||
| 7. | |||||
| 8. | |||||
| Итого: | |||||
| 9. Админист- ративно — хо- зяйственные и общебольнич- ные службы |
|||||
| Наименование подразделения |
Расходы в расчете на 1 УЕТ (руб.) |
Число койко — дней |
Расходы в расчете на 1 койко — день (руб.) |
| 1 | 7 (гр. 5 : гр. 6) |
8 | 9 (гр. 5 : гр. 8) |
| 1. Терапевти- ческий каби- нет (отделе- ние) |
|||
| 2. Хирурги- ческий каби- нет (отделе- ние) |
|||
| 3. | |||
| 4. | |||
| 5. Лаборато- рия |
|||
| 6. Рентге- новский каби- нет (отделе- ние) |
|||
| 7. | |||
| 8. | |||
| Итого: | |||
| 9. Админист- ративно — хо- зяйственные и общебольнич- ные службы |
РАСЧЕТ РАСХОДОВ НА МЯГКИЙ ИНВЕНТАРЬ, ОТНОСИМЫХ НА ПРОСТУЮ И СЛОЖНУЮ УСЛУГИ
Таблица 4
| Наименование подразделения |
Расходы по списанию (износ) (руб.) |
Доля рас- ходов об- щеучреж- денческих служб |
Расходы лечеб- но — диагности- ческих подраз- делений с уче- том общеучреж- денческих служб (руб.) |
Фонд рабочего времени с учетом Кисп (УЕТ) |
|
| по лечебно — диагнос- тическим подразделе- ниям |
по общеуч- режденчес- ким служ- бам |
||||
| 1 | 2 | 3 | 4 (итог гр. 3 : итог гр. 2) |
5 (гр. 2 x гр. 4) + гр. 2 |
6 (гр. 17 табл. 1.1) |
| 1. Терапевти- ческий каби- нет (отделе- ние) |
|||||
| 2. Хирурги- ческий каби- нет (отделе- ние) |
|||||
| 3. | |||||
| 4. | |||||
| 5. Лаборато- рия |
|||||
| 6. Рентге- новский каби- нет (отделе- ние) |
|||||
| 7. | |||||
| 8. | |||||
| Итого: | |||||
| 9. Админист- ративно — хо- зяйственные и общебольнич- ные службы |
|||||
| Наименование подразделения |
Расходы в расчете на 1 УЕТ (руб.) |
Число койко — дней по плану |
Расходы в расчете на 1 койко — день (руб.) |
| 1 | 7 (гр. 5 : гр. 6) |
8 | 9 (гр. 5 : гр. 8) |
| 1. Терапевти- ческий каби- нет (отделе- ние) |
|||
| 2. Хирурги- ческий каби- нет (отделе- ние) |
|||
| 3. | |||
| 4. | |||
| 5. Лаборато- рия |
|||
| 6. Рентге- новский каби- нет (отделе- ние) |
|||
| 7. | |||
| 8. | |||
| Итого: | |||
| 9. Админист- ративно — хо- зяйственные и общебольнич- ные службы |
РАСЧЕТ РАСХОДОВ НА ОБОРУДОВАНИЕ, ОТНОСИМЫХ НА ПРОСТУЮ И СЛОЖНУЮ УСЛУГИ
Таблица 5
| Наименование подразделения |
Сумма износа оборудования (руб.) |
Доля износа по общеуч- режден- ческим службам |
Сумма износа по лечебно — диагностическим подразделениям с учетом обще- учрежденческих служб (руб.) |
Фонд рабочего времени с учетом Кисп (УЕТ) |
|
| по лечебно — диагнос- тическим подразделе- ниям |
по общеуч- режденчес- ким служ- бам |
||||
| 1 | 2 | 3 | 4 (итог гр. 3 : итог гр. 2) |
5 (гр. 2 x гр. 4) + гр. 2 |
6 (гр. 17 табл. 1.1) |
| 1. Терапевти- ческий каби- нет (отделе- ние) |
|||||
| 2. Хирурги- ческий каби- нет (отделе- ние) |
|||||
| 3. | |||||
| 4. | |||||
| 5. Лаборато- рия |
|||||
| 6. Рентге- новский каби- нет (отделе- ние) |
|||||
| 7. | |||||
| 8. | |||||
| Итого: | |||||
| 9. Админист- ративно — хо- зяйственные и общебольнич- ные службы |
|||||
| Наименование подразделения |
Сумма износа в расчете на 1 УЕТ (руб.) |
Число койко — дней по плану |
Сумма износа на 1 койко — день (руб.) |
| 1 | 7 (гр. 5 : гр. 6) |
8 | 9 (гр. 5 : гр. 8) |
| 1. Терапевти- ческий каби- нет (отделе- ние) |
|||
| 2. Хирурги- ческий каби- нет (отделе- ние) |
|||
| 3. | |||
| 4. | |||
| 5. Лаборато- рия |
|||
| 6. Рентге- новский каби- нет (отделе- ние) |
|||
| 7. | |||
| 8. | |||
| Итого: | |||
| 9. Админист- ративно — хо- зяйственные и общебольнич- ные службы |
РАСЧЕТ КОЭФФИЦИЕНТА КОСВЕННЫХ РАСХОДОВ
Таблица 6
| Наименование подразделения |
Прямые расходы подразделения (руб.) | ||||||
| Коды статей бюджетной классификации | |||||||
| 110100 | 110200 | 110340 | 110320 | износ мягко- го ин- вентаря |
износ обору- дова- ния |
всего | |
| гр. 10 таб. 1.2 |
гр. 8 таб. 1.3 |
гр. 2 таб. 2 |
гр. 2 таб. 3 |
гр. 2 таб. 4 |
гр. 2 таб. 5 |
гр. (2 + 3 + 4 + 5 + 6 + 7) |
|
| 1 | 2 | 3 | 4 | 5 | 6 | 7 | 8 |
| 1. Терапевти- ческий каби- нет (отделе- ние) |
|||||||
| 2. Хирурги- ческий каби- нет (отделе- ние) |
|||||||
| 3. | |||||||
| 4. | |||||||
| 5. Лаборато- рия |
|||||||
| 6. Рентге- новский каби- нет (отделе- ние) |
|||||||
| 7. | |||||||
| 8. | |||||||
| Итого: | |||||||
| 9. Админист- ративно — хо- зяйственные и общебольнич- ные службы |
— | — | — | — | — | — | — |
| Всего: | — | — | — | — | — | — | |
| Наименование подразделения |
Косвенные расходы учреждения (руб.) | Коэф- фици- ент кос- вен- ных рас- ходов |
|||||||
| Коды статей бюджетной классификации | |||||||||
| 110100 | 110200 | 110340 | 110320 | износ мяг- кого инве- нтаря |
износ обо- рудо- вания |
прочие расхо- ды: 110310 110350 110360 110370 110400 110500 110600 110700 111000 130300 |
всего | ||
| гр. 3 табл. 4 |
гр. 3 табл. 5 |
гр. 9 + 10 + 11 + 12 + 13 + 14 + 15) |
гр. 16 : гр. 8 |
||||||
| 1 | 9 | 10 | 11 | 12 | 13 | 14 | 15 | 16 | 17 |
| 1. Терапевти- ческий каби- нет (отделе- ние) |
— | — | — | — | — | — | — | — | — |
| 2. Хирурги- ческий каби- нет (отделе- ние) |
— | — | — | — | — | — | — | — | — |
| 3. | — | — | — | — | — | — | — | — | — |
| 4. | — | — | — | — | — | — | — | — | — |
| 5. Лаборато- рия |
— | — | — | — | — | — | — | — | — |
| 6. Рентге- новский каби- нет (отделе- ние) |
— | — | — | — | — | — | — | — | — |
| 7. | — | — | — | — | — | — | — | — | — |
| 8. | |||||||||
| Итого: | — | — | — | — | — | — | — | — | — |
| 9. Админист- ративно — хо- зяйственные и общебольнич- ные службы |
— | ||||||||
| Всего: | — | — | — | — | — | — | — | — | |
РАСЧЕТ КОСВЕННЫХ РАСХОДОВ, ОТНОСИМЫХ НА ПРОСТУЮ И СЛОЖНУЮ УСЛУГИ ПО ПОДРАЗДЕЛЕНИЯМ УЧРЕЖДЕНИЙ (РУБ.)
Таблица 7
| Наименование подразделения |
Сумма прямых расхо- дов подраз- делений (руб.) |
Коэф- фи- циент кос- венных расхо- дов |
Кос- венные расхо- ды в расче- те на под- разде- ление (руб.) |
Число койко — дней |
Фонд рабочего времени с уче- том Кисп (УЕТ) |
Кос- венные расхо- ды в расче- те на 1 койко — день (руб.) |
Косвен- ные расходы в рас- чете на 1 УЕТ (руб.) |
||
| вра- чи |
ср. м.п. |
все- го |
|||||||
| 1 | 2 гр. 8 табл. 6 |
3 итог гр. 17 табл. 6 |
4 (гр. 2 x гр. 3) |
5 | 6 | 7 | 8 | 9 (гр. 4 : гр. 5) |
10 (гр. 4 : гр. 8) |
| 1. Терапевти- ческий каби- нет (отделе- ние) |
|||||||||
| 2. Хирурги- ческий каби- нет (отделе- ние) |
|||||||||
| 3. | |||||||||
| 4. | |||||||||
| 5. Лаборато- рия |
|||||||||
| 6. Рентге- новский каби- нет (отделе- ние) |
|||||||||
| 7. | |||||||||
| 8. | |||||||||
| Итого: | |||||||||
| 9. Админист- ративно — хо- зяйственные и общебольнич- ные службы |
|||||||||
РАСЧЕТ ЗАТРАТ, ОТНОСИМЫХ НА СТОИМОСТЬ ПРОСТОЙ УСЛУГИ (В РАСЧЕТЕ НА 1 УЕТ)
Таблица 8
| Наименование подразделения |
Статьи экономической классификации расходов | |||||||
| 110100 фонд оплаты труда (руб.) |
110200 начисле- ния на оплату труда (руб.) |
110340 про- дукты пита- ния (руб.) |
110320 меди- цинск. расхо- ды (руб.) |
износ мягко- го ин- вента- ря (руб.) |
износ обору- дова- ния (руб.) |
кос- венные расхо- ды (руб.) |
всего (руб.) |
|
| 1 | 2 гр. 18 табл. 1.1 |
3 гр. 12 табл. 1.3 |
4 гр. 7 табл. 2 |
5 гр. 7 табл. 3 |
6 гр. 7 табл. 4 |
7 гр. 7 табл. 5 |
8 гр. 10 табл. 7 |
9 гр. (2 + 3 + 4 + 5 + 6 + 7 + 8) |
| 1. Терапевти- ческий каби- нет (отделе- ние) |
||||||||
| 2. Хирурги- ческий каби- нет (отделе- ние) |
||||||||
| 3. | ||||||||
| 4. | ||||||||
| 5. Лаборато- рия |
||||||||
| 6. Рентге- новский каби- нет (отделе- ние) |
||||||||
| 7. | ||||||||
| 8. | ||||||||
| 9. | ||||||||
РАСЧЕТ ЗАТРАТ, ОТНОСИМЫХ НА СТОИМОСТЬ СЛОЖНОЙ УСЛУГИ (В РАСЧЕТЕ НА 1 КОЙКО — ДЕНЬ)
Таблица 9
| Наименование подразделения |
Статьи экономической классификации расходов | |||||||
| 110100 фонд оплаты труда (руб.) |
110200 начисления на оплату труда (руб.) | 110340 продукты питания (руб.) |
110320 медицинск. расходы (руб.) |
износ мягкого инвентаря (руб.) |
износ оборудования (руб.) | косвенные расходы (руб.) | всего (руб.) |
|
| 1 | 2 гр. 16 таб. 1.2 |
3 гр. 14 таб. 1.3 |
4 гр. 9 таб. 2 |
5 гр. 9 таб. 3 |
6 гр. 9 таб. 4 |
7 гр. 9 таб. 5 |
8 гр. 9 таб. 7 |
9 гр. (2 + 3 + 4 + 5 + 6 + 7 + 8) |
| 1. Терапевтический кабинет (отделение) | ||||||||
| 2. Хирургический кабинет (отделение) | ||||||||
| 3. | ||||||||
| 4. | ||||||||
| 5. Лаборатория | ||||||||
| 6. Рентгеновский кабинет (отделение) | ||||||||